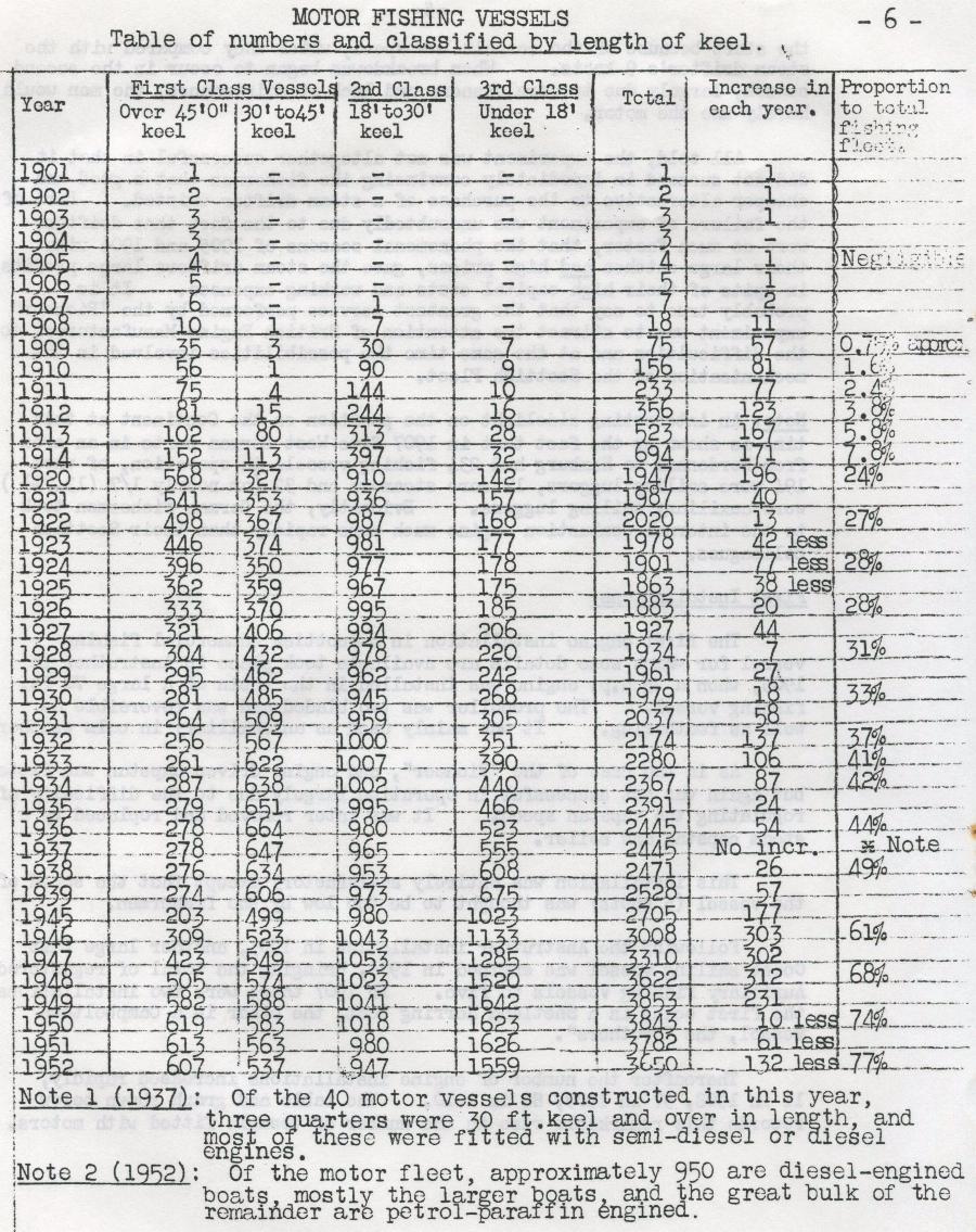
Table 1